Indeed

Proof Of Income Letter

Proof Of Income Letter

Navigating the complex world of finance often requires you to provide documentation to verify your financial status. Whether you are applying for a rental apartment, seeking a mortgage, or applying for a business loan, one document that frequently appears is the Proof Of Income Letter. This document is a formal statement, usually verified by an employer, accountant, or even yourself if you are self-employed, that confirms how much money you earn on a regular basis. Understanding how to draft, obtain, and present this document correctly can significantly streamline your application processes and improve your chances of approval.

What Exactly Is a Proof Of Income Letter?

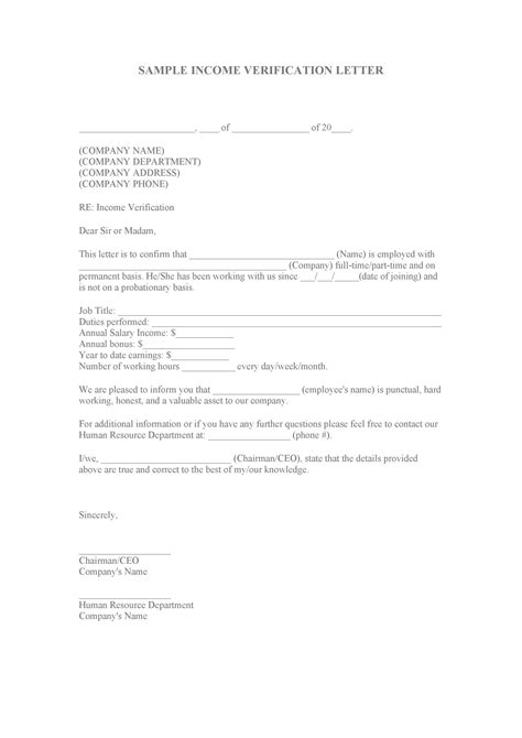
A Proof Of Income Letter—sometimes referred to as an income verification letter—is a document that serves as evidence of your earnings. It provides third-party entities with a clear snapshot of your financial health. While bank statements or tax returns can serve a similar purpose, an official letter is often preferred because it summarizes your compensation details in a concise, readable format.

This document is typically required when your financial reliability needs to be confirmed by an external party. Common scenarios where you might need this include:

  • Applying for a new rental property or apartment lease.
  • Applying for a mortgage, personal loan, or auto loan.
  • Qualifying for certain government assistance programs or subsidies.
  • Verifying income for child support or alimony arrangements.
  • Applying for certain types of insurance.

What Should Be Included in the Document?

To be effective, a Proof Of Income Letter must be professional, accurate, and comprehensive. Lenders and landlords require specific details to feel confident in the information provided. If the letter is missing key components, it may be rejected, causing unnecessary delays.

Here are the essential elements that should be included:

  • Employer/Issuer Information: Full name, company name, address, and contact details of the person providing the letter.
  • Employee Information: Your full legal name, job title, and current employment status.
  • Earnings Details: Your current gross salary or hourly wage, including frequency of pay (e.g., weekly, bi-weekly, or monthly).
  • Additional Compensation: If applicable, include details about bonuses, commissions, or overtime pay.
  • Employment Dates: The start date of your employment and, if relevant, your expected end date (if on a contract).
  • Signature: The letter must be signed by the employer or the relevant authority to ensure it is authentic.

💡 Note: If you are self-employed, you may need to write this letter yourself and attach supporting documentation such as tax returns, bank statements, or profit and loss statements to verify the claims made in your letter.

Comparison of Proof Of Income Documentation

While an income letter is highly effective, it is often used in conjunction with other forms of financial proof. The following table illustrates how different documents compare in terms of depth and purpose.

Document Type Primary Purpose Level of Detail
Proof Of Income Letter Official verification of current employment and salary Moderate (Summarized)
Pay Stubs Verifies periodic earnings and deductions High (Specific)
Bank Statements Shows actual cash flow and savings habits High (Detailed)
Tax Returns Verifies annual reported income High (Historical)

How to Request a Proof Of Income Letter from Your Employer

If you are an employee, requesting a Proof Of Income Letter from your Human Resources (HR) department is usually a standard procedure. Most HR professionals are familiar with this request and have templates ready to fill out.

Follow these steps to ensure you get exactly what you need:

  1. Check your company policy: Some companies have a specific procedure or an online portal where you can request employment verification letters.
  2. Be clear about the purpose: Inform your HR representative why you need the letter so they can include the necessary information (e.g., if a lender requires specific wording).
  3. Provide the recipient details: If the letter needs to be addressed to a specific bank or property management company, provide those details upfront.
  4. Give lead time: Do not wait until the last minute. Request the document several days before your deadline to account for internal processing times.

Tips for Success When Submitting Income Verification

Submitting your Proof Of Income Letter correctly can be just as important as the content itself. To maximize your chances of a smooth approval process, keep these best practices in mind:

  • Keep it professional: Always use official company letterhead if you are the employer or if you have the authority to issue the document.
  • Ensure accuracy: Double-check all figures, dates, and spelling. Any discrepancy between the letter and your actual tax returns could lead to fraud suspicion.
  • Keep copies: Always maintain a digital and physical copy of any financial documentation you submit to lenders or landlords for your own records.
  • Be consistent: Ensure the income stated in the letter matches the income you have declared on your application forms.

💡 Note: If you are submitting multiple documents, organize them clearly in a folder or a single PDF file, labeling each document so the reviewer can easily navigate your financial profile.

Handling Challenges with Income Verification

Sometimes, obtaining an official letter might be difficult, especially for freelancers, gig workers, or those who have recently changed jobs. If you find yourself in a situation where a traditional letter is difficult to obtain, communication is key. Reach out to the entity requesting the information and ask for alternatives.

Alternative methods to verify income often include:

  • Providing the last three months of bank statements to show consistent deposits.
  • Submitting previous years' tax filings (Form 1040).
  • Providing a current contract that outlines payment terms for freelancers.
  • Using third-party verification services if your company uses them for automated employment checks.

Mastering the process of gathering and presenting a Proof Of Income Letter is a vital skill in managing your personal and professional financial life. By ensuring that your documentation is professional, accurate, and complete, you minimize friction during important transactions like securing housing or obtaining credit. Whether you are leveraging your employer’s HR department or compiling your own evidence as a self-employed professional, prioritize transparency and organization. This proactive approach not only facilitates faster approvals but also demonstrates a level of financial responsibility that can work in your favor throughout your financial journey.

Related Terms:

  • examples of proof income letter
  • sample income verification letter
  • notarized income verification letter
  • letter to confirm income
  • example of income verification letter
  • written verification of income