C4 Complement Blood Test & Example | Free PDF Download
Cleve

C4 Complement Blood Test & Example | Free PDF Download

1176 × 1630 px January 30, 2025 Peter Cleve

C4 Complement Blood Test & Example | Free PDF Download is a high-quality image in the Cleve collection, available at 1176 × 1630 pixels resolution — ideal for both digital and print use.

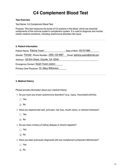
Understand your Lab Test C4 results with our comprehensive guide. We explain what this complement component measures, normal range interpretations, and how low or high levels correlate with autoimmune disorders, kidney disease, or inflammation. Learn why doctors order this blood test to monitor immune system health and manage chronic conditions effectively through accurate clinical diagnostics.

Image Details

TitleC4 Complement Blood Test & Example | Free PDF Download
Dimensions1176 × 1630 px
CategoryCleve
PublishedJanuary 30, 2025
AuthorZeus
Downloads1,796
Views2,069

Read full article: Lab Test C4

// More Images