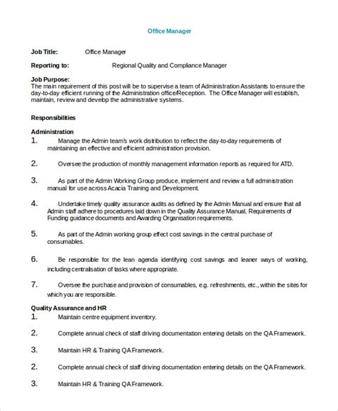
Office Manager Job Description Templates: How To Write & Examples
Indeed

Office Manager Job Description Templates: How To Write & Examples

2597 × 1768 px July 5, 2025 Peter Indeed

Office Manager Job Description Templates: How To Write & Examples is a high-quality image in the Indeed collection, available at 2597 × 1768 pixels resolution — ideal for both digital and print use.

Boost your career with our comprehensive guide on Jobs Office Management. Discover essential tips for mastering administrative roles, streamlining office operations, and developing key organizational skills. Whether you are seeking entry-level administrative assistant positions or senior office manager roles, learn how to excel in executive support, project coordination, and workplace efficiency to land your ideal job today.

Image Details

TitleOffice Manager Job Description Templates: How To Write & Examples
Dimensions2597 × 1768 px
CategoryIndeed
PublishedJuly 5, 2025
AuthorZeus
Downloads1,921
Views2,072

Read full article: Jobs Office Management

// More Images